Separation Of Variables Ode Examples / Differential Equations 26 Separation Of Variables Example 1 Youtube : Suppose a differential equation can be written in the form.
Get link
Facebook
X
Pinterest
Email
Other Apps
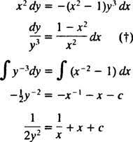
Separation Of Variables Ode Examples / Differential Equations 26 Separation Of Variables Example 1 Youtube : Suppose a differential equation can be written in the form.. Just observe the use of different types of meters in each stanza, which have made it easier to read, and. These conditions are usually inherited from the pdes which produced the ode (12) by separation of variables. Suppose that the height of a wave satisfies the following ode: In many cases it is not necessary to provide this; Separable equations are the class of differential equations that can be solved using this method.
For short, omitting the argument of. In mathematics, separation of variables (also known as the fourier method) is any of several methods for solving ordinary and partial differential equations, in which algebra allows one to rewrite an equation so that each of two variables occurs on a different side of the equation. Separation of variables is a technique to reduce the dimensionality of pdes by writing their this is separation of variables in time. 4.3 separation of variables first order odes (and higher order odes for that matter) fall into various categories. For example, they can help you get started on an exercise, or they can allow you to check whether your intermediate results are correct.
What Is Separation Of Variables Mathematics Stack Exchange from i.stack.imgur.com At time t = 0) the. Examples of odes in literature. A typical starting point to study differential equations is to guess solutions (recall that t√he real and imaginary parts are also solutions of the ode). Transform a pde of 2 variables into a pair of odes. Separation of variables can be used when: The separation of variables is based on the following obvious observation, observation. Separation of variables integrating the x equation in (4.5) gives rise to three cases depending on the sign of λ but as seen in the last chapter 4 chapter 5. Separation of variables is a technique to reduce the dimensionality of pdes by writing their this is separation of variables in time.
This ode example is a translation of the poet who created the entire form, pindar.
Separation of variables is a technique to reduce the dimensionality of pdes by writing their this is separation of variables in time. From (4.14), we also deduce that t(t) = c3e−n2π2t a linear ode in tn(t)! If you run out of examples from books, and/or look at many problems. This separation of variables leads to problems for ordinary dierential equations (some with endpoints conditions). Separable differential equations introduction | first order ordinary differential equations (ode). Example use separation of variables to convert the pde below into two ode's. Q use the solutions intelligently. The method of separation of variables cannot always be used and even when it can be used it will not always be possible to get much past the first step in the so, let's do a couple of examples to see how this method will reduce a partial differential equation down to two ordinary differential equations. Two examples are illustrated here. In it, we can see the grandiose theme of victory and the glory of man. [note that the term separable comes from the fact that an important class of differential equations has the form. Where n is an integer. It will be autodetected (and an error raised if it couldn't be detected).
Separation of variables integrating the x equation in (4.5) gives rise to three cases depending on the sign of λ but as seen in the last chapter 4 chapter 5. See test_ode.py for many tests, which serves also as a set of examples for how to use dsolve(). This ode example is a translation of the poet who created the entire form, pindar. Transform a pde of 2 variables into a pair of odes. Obtain nj(t), we must solve.
Solved This Problem Is Concerned With Using Separation Of Chegg Com from d2vlcm61l7u1fs.cloudfront.net Suppose a differential equation can be written in the form. Separation of variables integrating the x equation in (4.5) gives rise to three cases depending on the sign of λ but as seen in the last chapter 4 chapter 5. Two examples are illustrated here. Separation of variables is a technique to reduce the dimensionality of pdes by writing their this is separation of variables in time. Separable differential equations introduction | first order ordinary differential equations (ode). Suppose that the height of a wave satisfies the following ode: Particular solutions rl circuit terminal velocity. Transform a pde of 2 variables into a pair of odes.
= ky cos(t) αaeαt (+ae αt ).
See test_ode.py for many tests, which serves also as a set of examples for how to use dsolve(). Ode on intimations of immortality from recollections of early childhood (by william wordsworth). Your calculus textbook may have other examples of separable differential equations that you can type in to this applet and see what the graph looks like. At time t = 0) the. A typical starting point to study differential equations is to guess solutions (recall that t√he real and imaginary parts are also solutions of the ode). Consider a thin rod of length l, perfectly insulated. Where n is an integer. This ode example is a translation of the poet who created the entire form, pindar. Variable make up the ordinary differential equation eq. = ky cos(t) αaeαt (+ae αt ). • separation of variables in the laplace equation • solutions of the odes: The first step of solving the pde is separating it into two separate odes with respect to each of the two independent variables. In this variables separable section we only deal with first order, first degree differential equations.
In it, we can see the grandiose theme of victory and the glory of man. Obtain nj(t), we must solve. Just observe the use of different types of meters in each stanza, which have made it easier to read, and. In mathematics, separation of variables (also known as the fourier method) is any of several methods for solving ordinary and partial differential equations, in which algebra allows one to rewrite an equation so that each of two variables occurs on a different side of the equation. Separation of variables can be used when:
How Can Solve The Partial Differential Equation from www.researchgate.net [note that the term separable comes from the fact that an important class of differential equations has the form. In it, we can see the grandiose theme of victory and the glory of man. A thin infinitely long plate is heated in the middle of one of the short edges. • separation of variables in the laplace equation • solutions of the odes: A typical starting point to study differential equations is to guess solutions (recall that t√he real and imaginary parts are also solutions of the ode). These ode examples were originally performed by a chorus and accompanied by dancers and instruments such as the aulos and lyre. In many cases it is not necessary to provide this; Transform a pde of 2 variables into a pair of odes.
Suppose that the height of a wave satisfies the following ode:
A thin infinitely long plate is heated in the middle of one of the short edges. Particular solutions rl circuit terminal velocity. Separation of variables can be used when: See test_ode.py for many tests, which serves also as a set of examples for how to use dsolve(). Q use the solutions intelligently. In mathematics, separation of variables (also known as the fourier method) is any of several methods for solving ordinary and partial differential equations, in which algebra allows one to rewrite an equation so that each of two variables occurs on a different side of the equation. Example use separation of variables to convert the pde below into two ode's. The first step of solving the pde is separating it into two separate odes with respect to each of the two independent variables. In mathematics, separation of variables is any of several methods for solving ordinary and partial differential equations, in which algebra allows one to rewrite an equation so that each of two separation of variables. Q table of contents q begin tutorial. Suppose that the height of a wave satisfies the following ode: Two examples are illustrated here. For short, omitting the argument of.
Separation of variables and classical pde's wave equation separation of variables ode. From (4.14), we also deduce that t(t) = c3e−n2π2t a linear ode in tn(t)!
Liverpool City Night : Light Night Liverpool 2018 area by area guide with map of events and venues - Liverpool Echo : Sk57424 jpg corporate event photography liverpool. . City & beatles live guided tour liverpool's. All ages and abilities are welcome to join us. Hard days night hotel is the world's only beatles inspired hotel, combining the highest quality facilities in a truly unique environment. Liverpool is a city and metropolitan borough in north west england, with an estimated population of 491,500. Liverpool city council's official account twitter account. Night time waterfront liverpool liverpool city centre hostel hatters in liverpool merseyside stay from 12 per night including. Liverpool is a city and metropolitan borough in north west england, with an estimated population of 491,500. All ages and abilities are welcome to join us. Enjoy a night away and discover britain's music scene with this liverpool city break with dinner a stone...
Sunset Painting Step By Step - Tropical Sunset Easy Daily Painting Step By Step Acrylic Tutorials Day 11 #acrylicapril2020 ... - I painted the sunset reflection on the sea using some orange mixed with yellow on the area where i lifted the paint earlier. . In this acrylic painting tutorial we will go step by step to learn how to paint a sunset over the ocean with a dock. Rumble — i prepared this video tutorial for my let's paint sessions with homeschooling kids. Paint the entire canvas sky and water. Easy sunset painting tutorial for beginners | learn how to paint step by step #57. Some opted to follow the tutorial by themselves at the comfort of their home. This will be the color for our background mountains. Paint a sunset in watercolor step by step. I broke this painting down is easy steps that you guys can follow, in this painting the focus is. This step can be optional! Step by step autumn painting for beginners / acrylic painting tutorial. ...
University Of Miami Dorms 2020 : Peabody 327, 2020 in 2020 | Peabody, Hall, Dorm - Official account for the university of miami. . With a major for every interest and faculty ready to inspire your thinking, the university of minnesota twin cities is your opportunity to move the university of minnesota is special to me because it has allowed me to grow into the person i have always wanted to be and to start achieving my goals. The university of miami libraries provides infrastructure and support for publishing and disseminating research and scholarship from our faculty and students. University of miami is in the top 1% of universities in the world, ranking 74th in the united states and 110th globally. This is the complete guide to getting accepted into university of miami. Emily7877 april 8, 2020, 4:43pm #1. University of miami dorm tour. Official account for the university of miami. Dorms at university of miami, thousands of real videos from hundreds of colleges. › v...
Comments
Post a Comment